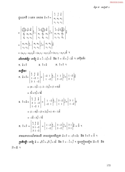
Page 180 - Math Grade 12 (Advance)
P. 180
PROEUS DARA
~ ~ 7
i j k
ut Uz u3
vt vz v3
=
=
7 7 7
= (u v -u v )i-(u v -u v )j+(u v -u v )k '1
2 3 3 2 1 3 3 1 1 2 2 1
n. it x t 2. t XU ?1. txt '1
orfJm:
N
7 7 7
i j k -2 I ~ _ 1 1 ; + 1 -2 r
=
I -2
-2 3 -2 3 1
3 I -2
7 7 7
= (4-l)i-(-2-3)j+(l+6)k
l> 7 7
= 3i+5j+J.k
7 7 7
i j k 1 -2 7 3 -2 7 3 1
2. txit= = i- j+ k
3 1 -2
-2 l 1 1 -2
1 -2 1
7 7 7
= (1-4)i-(3+2)j+(-6-l)k
7
'
7
= -3i-5j-7k
7 7 7
i j k
R. tXt = = 1 -2 i- 3 -2 J + 3 l k = 0 '1
3 1 -2
1 -2 3 -2 3 l
3 1 -2
611~291'UlHln21btrn t?itu&brmfimm uxt = -(txit) Sb txt= 0 '1
n "'""
Lulluu: t?12J it = J2 i + J3 J + 2k sb t = -i + J '1 fJHLu]m8Ju lit X tl sb
ltx itl '1
175

